หน้าแรก
ค้นหา
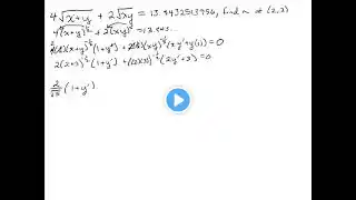
Implicit Differentiation: Find the Equation of a Tangent Line (Dr. April Ström)
Using implicit differentiation to find the equation of a line tangent to the function.
แสดงข้อมูลเพิ่มเติม 1
Implicit Differentiation: Find the Equation of a Tangent Line (Dr. April Ström)
equations of tangent line and normal line using implicit differentiation.
Limit Definition of Derivative: Find the Equation of a Tangent Line (Dr. April Ström)
Finding Equation of Tangent Line with Implicit Differentiation
Implicit Differentiation: Example 1 (Dr. April Ström)
Finding The Tangent Line For Implicit Functions!
Find equation of tangent line using implicit differentiation to find the 1st derivative and slope.
Find equation of tangent line to curve where y' is found using implicit differentiation.
Tangent Line with Implicit Differentiation | Calculus 1
How to use implicit differentiation to find a tangent line at point on a curve.
Use implicit differentiation to find the equation of a tangent line
Derivative: Implicit Differentiation: Find Equation of a Tangent Line
Writing the equation of a tangent line (with implicit differentiation)
Implicit Differentiation: Writing Tangent Line Equations (Example)
Finding the slope of a tangent line with implicit differentiation
Implicit Differentiation: Writing Tangent Line Equations (Example)
Introduction to Implicit Differentiation (Dr. April Strom)
Implicit Differentiation: Example 2 (Dr. April Ström)
Implicit Differentiation: Writing Tangent Line Equations (Example)
Ex: Perform Implicit Differentiation and Find the Equation of a Tangent Line