หน้าแรก
ค้นหา
AP Calculus Sect 6.9 Integration with U-substitution
No description available
แสดงข้อมูลเพิ่มเติม 1
AP Calculus AB Unit 6 6.1-6.9 Review (NON CALCULATOR SECTION)
AP Calculus Sect 6.9 Integration with U-substitution
AP Calculus AB 6.9 Integration By "u" Substitution (Example 2 Rational Function)
AP Calculus AB 6.9 Integration By "u" Substitution (Example 5 sin(2x))
AP Calculus AB 6.9 Integration By "u" Substitution (Example 6 4xe^x)
AP Calculus AB 6.9 Integration By "u" Substitution (Example 4 Rationals and Radicals)
AP Calculus AB 6.9 Integration By "u" Substitution (Example 3 e^3x)
AP Calculus AB 6.9 Integration By "u" Substitution (Example 1 Polynomials)
S21 AP Calculus Section 6.9
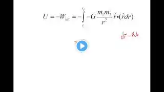
Matter & Interactions Minilecture Section 6.9